Fecha: 20/05/2014
La quincena pasada hablamos del concepto de presión media de vía aérea (PVAmedia), cómo se mide y qué representa. Hablamos de su significado clínico, describiendo su rol en el Indice de Oxigenación. Hoy, enfatizaremos su importancia clínica en dos escenarios: 1) la evaluación del trabajo ventilatorio, y 2) la deformación (strain) pulmonar. Este último escenario es un análisis en relación a los estudios de HFOV.
Como vimos previamente, el principal determinate de la PVAmedia es el nivel de soporte expiratorio o PEEP. Si no tenemos soporte inspiratorio (CPAP), la PVAmedia será similar al PEEP. En la medida que aumentamos el soporte inspiratorio, con presión de soporte o en modos controlados, la PVAmedia comienza a aumentar en relación al PEEP. De este modo, la PVAmedia siempre debe ser igual o superior al PEEP.
Si la PVAmedia es inferior al PEEP, significa que el paciente está haciendo esfuerzos negativos que hacen que la presión de vía aérea disminuya bajo el nivel de PEEP. Esta es un situación delicada, pues implica un aumento del trabajo ventilatorio, aumento de presiones transpulmonares y, eventualmente, daño asociado a la ventilación.
Mientras mayor el soporte inspiratorio (mayor presión de distensión), mayor la diferencia entre PVAmedia y PEEP. No hay reglas (también hay que considerar presión meseta y tiempo inspiratorio), pero cuando estamos con PEEP 10 cmH2O en la fase aguda del SDRA, la PVAmedia debiera estar cercano a los 14 o 16 cmH2O, mientras PEEP sobre 15 cmH2O, implica una PVAmedia sobre 20 cmH2O.
Recuerde, si su paciente tiene una PVAmedia similar o inferior al PEEP, y no está en CPAP o con niveles bajos de soporte, Ud no le está aliviando el trabajo ventilatorio. En suma, no está ventilando bien a su paciente.
En un reciente modelo experimental en cerdos sin daño pulmonar, Protti et al. usó varias combinaciones de strain dinámico o cíclico (Vt, volumen corriente) y estático (volumen de gas al final de la expiración, secundario al PEEP) para lograr un strain global similar (la suma de strain estático y dinámico) y lo suficientemente grande para inducir daño pulmonar [1]. Una estrategia consistente en strain dinámico pequeño (Vt bajo) y estático grande (mayor PEEP) disminuyó varios marcadores de daño pulmonar y la mortalidad, en relación a una estrategia de strain global similar pero en base a strain estático pequeño y dinámico grande (bajo PEEP y Vt grande). Su conclusión fue que el strain estático grande es menos dañino que un strain dinámico elevado.
En este sentido, este estudio sostiene el uso de alta frecuencia oscilatoria (HFOV) en pacientes con falla respiratoria severa. Por definición, la HFOV permite un volumen de fin de expiración (strain estático) aumentado mientras minimiza el Vt o strain cíclico. Sin embargo, dos estudios prospectivos, randomizados y multicéntricos no mostró beneficios de la HFOV sobre una estrategia de ventilación convencional, e incluso aumentó la mortalidad en uno de ellos [2, 3]. Varias hipótesis pueden explicar estos resultados [4]. Una explicación fisiopatológica, no comentada previamente, puede hallarse al analizar la PVAmedia aplicada en ambos estudios.

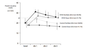
Como vimos la quincena pasada, la PVAmedia representa bastante bien la presión media alveolar (excepto en condiciones de aumento de la resistencia de la vía aérea) [5]. Analizando la PVAmedia en ambos estudios, podemos observar que ambas ramas de HFOV tienen mayor PVAmedia que sus respectivos controles y sobre 25 cmH2O (Figura). La mayor PVAmedia puede reflejar o ser una medida del strain global, esto es la suma del strain estático y cíclico. Como el strain cíclico es minimizado con la HFOV (menos Vt), un strain global mayor puede explicar la mayor mortalidad en el estudio Oscillate, o la falta de beneficio en el estudio Oscar. Para sostener esta hipótesis, en el estudio Oscillate hubo una clara tendencia a mayor barotrauma en el grupo HFOV (18% vs 13%, P = 0.13), así como un mayor uso de vasopresores y fluídos intravenosos.
Si bien esta hipótesis es dificil de demostrar, al menos tengan conciencia que el strain estático también puede dañar al aumentar el strain global, el cual se refleja en la PVAmedia. Cuando tengan un paciente con una falla respiratoria aguda y PVAmedia sobre 20 cmH2O, sepan que están frente a una situación de extrema gravedad y consideren el uso de bloqueo neuromuscular, o prono.
La PVAmedia representa la intensidad del soporte ventilatorio y se correlaciona con la ventilación alveolar, oxigenación arterial y función hemodinámica. Midan regularmente la PVAmedia. Su interpretación puede ayudar en la aplicación de un soporte ventilatorio racional en el manejo de los pacientes críticos.
Un saludo cordial, GB
1. Protti A, Andreis DT, Monti M, et al: Lung stress and strain during mechanical ventilation: any difference between statics and dynamics? Crit Care Med 2013, 41(4):1046-1055.
2. Young D, Lamb SE, Shah S, et al: High-frequency oscillation for acute respiratory distress syndrome. N Engl J Med 2013, 368(9):806-813.
3. Ferguson ND, Cook DJ, Guyatt GH, et al: High-frequency oscillation in early acute respiratory distress syndrome. N Engl J Med 2013, 368(9):795-805.
4. Malhotra A, Drazen JM: High-frequency oscillatory ventilation on shaky ground. N Engl J Med 2013, 368(9):863-865.
5. Marini JJ1, Ravenscraft SA. Mean airway pressure: physiologic determinants and clinical importance–Part 2: Clinical implications. Crit Care Med 1992; 20(11): 1604-16.